Part of the Oxford Instruments Group
Expand
Nanoanalysis FR blog
Qu’est-ce que l’EBSD – Intensités de la bande de Kikuchi

07-06-2022 | auteure: Dr. Brooke Matat Jablon

Qu’est-ce que l’EBSD – Intensités de la bande de Kikuchi

posez-nous une question

La diffraction électronique rétrodiffusée (EBSD) est une technique basée sur un microscope électronique à balayage (MEB) qui fournit des informations cristallographiques sur la microstructure d'un échantillon. Dans l’EBSD, un faisceau d'électrons interagit avec un échantillon cristallin incliné et génère un cliché. Le cliché est caractéristique de l'orientation cristalline de l'échantillon où il a été généré. Par conséquent, le cliché peut être utilisé pour déterminer l'orientation des cristaux, faire la distinction entre des phases cristallographiquement différentes, caractériser les joints de grains et fournir des informations sur les imperfections cristallines.

Cette série de blog couvrira la préparation d’échantillon, la génération de clichés Kikuchi, des conseils pour l’acquisition des données, la diffraction en transmission des clichés Kikuchi (TKD) et bien d’autres sujets. Dans le blog précédent, nous avons discuté la représentation des orientations cristallines. Dans ce blog, nous traiterons les intensités de la bande Kikuchi.

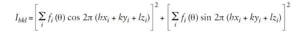
Les mécanismes à l'origine des intensités et des formes de profil de la bande de Kikuchi sont complexes. A titre indicatif, l'intensité d'une bande de Kikuchi |hkl| pour le plan (hkl) est donnée par :

où fi (θ) est le facteur de diffusion atomique pour les électrons et (xi yi zi) sont les coordonnées fractionnaires dans la cellule unitaire pour l'atome i. Un motif de diffraction observé doit être comparé à une simulation calculée à l'aide de l'équation au dessus, pour s'assurer que seuls les plans qui produisent des bandes de Kikuchi visibles sont utilisés lors de la résolution du motif de diffraction (Figure 1). Ceci est particulièrement important lorsque vous travaillez avec des matériaux avec plus d'un type d'atome.

Figure 1. Intensités des bandes du motif de diffraction. ( a ) Diagramme de diffraction de la mullite céramique orthorhombique (3Al2O3 2SiO2) collectée à une tension d'accélération de 10 kV. (b) Solution superposée sur le diagramme de diffraction donnant l'orientation cristalline comme {370}<7-34> (c) Diagramme de diffraction simulé montrant toutes les bandes de Kikuchi avec une intensité supérieure à 10 % de la bande la plus intense. (d) Simulation de l'orientation cristalline donnant la solution indiquée en (b).

Dans ce blog, nous avons parlé de la représentation des orientations cristallines. Dans le prochain blog EBSD, les types différents des expérimentations en EBSD. Les détecteurs EBSD sont courants dans les microscopes électroniques à balayage. Pour en savoir plus sur l’EBSD ou pour planifier une démonstration, contactez un spécialiste des applications d'Oxford Instruments ici.RU